Gravitační pole Slunce
Gravitační pole Slunce svým silovým působení mnohonásobně převyšuje gravitační pole Země. Vzhledem k obrovské hmotnosti Slunce působí na všechna tělesa sluneční soustavy značné gravitační síly do velkých vzdáleností.
V gravitačním poli Slunce se pohybuje mnoho různých těles, jako např. planety. Které planety známe?
Střední vzdálenost Země od Slunce je cca 150 milionů km, přesněji 149,6*106 km a nazývá se astronomická jednotka AU (Astronomical unit). Vzdálenost Země od Slunce je tedy 1 AU a například Jupiter je od Slunce vzdálen 5,2 AU.
Pohyby planet kolem Slunce popisují tři zákony, které na základě četných pozorování a výpočtu formuloval astronom Johannes Kepler.
KEPLEROVY ZÁKONY
První Keplerův zákon
Planety obíhají kolem Slunce po elipsách málo odlišných od kružnic, v jejich společném ohnisku je Slunce.
Popisuje tvar trajektorie planet.
Druhý Keplerův zákon
Obsahy ploch opsané průvodičem planety za jednotku času jsou konstantní.
Vysvětluje, jak se planety pohybují.
Průvodičem planety je úsečka spojující planetu se středem Slunce. Při pohybu planety se velikost a směr průvodiče neustále mění, ale plochy, které průvodič opíše za stejnou dobu jsou stále stejné. Nejkratší průvodiče má planeta v perihéliu P, nejdelší v aféliu A. Důsledkem této skutečnosti je, že se planety pohybují v perihéliu rychleji a v aféliu pomaleji. Pohyb planet tedy není rovnoměrný.

Nezapomeň, že rychlost je vektor.
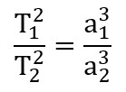
Třetí Keplerův zákon
Poloměr druhých mocnin oběžných dob dvou planet se rovná poměru třetích mocnin hlavních poloos jejich trajektorií.
Uvádí vztah mezi mezi oběžnými dobami dvou planet a hlavními poloosami trajektorií planet, které přibližně odpovídají vzdálenosti planet od Slunce.

A teď hezky polopatě.
Příklady
- Oběžná doba planety Uran je 84 let. Určete střední vzdálenost planety od Slunce.
- Doba oběhu Marsu kolem Slunce je přibližně 1,9 roku. Určete jeho střední vzdálenost od Slunce.
- Střední vzdálenost planety Neptun od Slunce je 30 AU. Jaká je jeho oběžná doba?
- Nejbližší planeta Slunci je Merkur. Vzdálenost Merkuru od Slunce je v periheliu je 0,308 AU, v aféliu 0,466 AU. Vypočtěte jeho oběžnou dobu.


